ПОЖАЛУЙСТА ПОМОГИТЕ!!!!!!!
Найдите значение выражения:
по корнем: 4а²+12ав+9в²
при а=2 3/11
при в= 9/11
Ответы
Ответ дал:
6
Ответ:
Пошаговое объяснение:
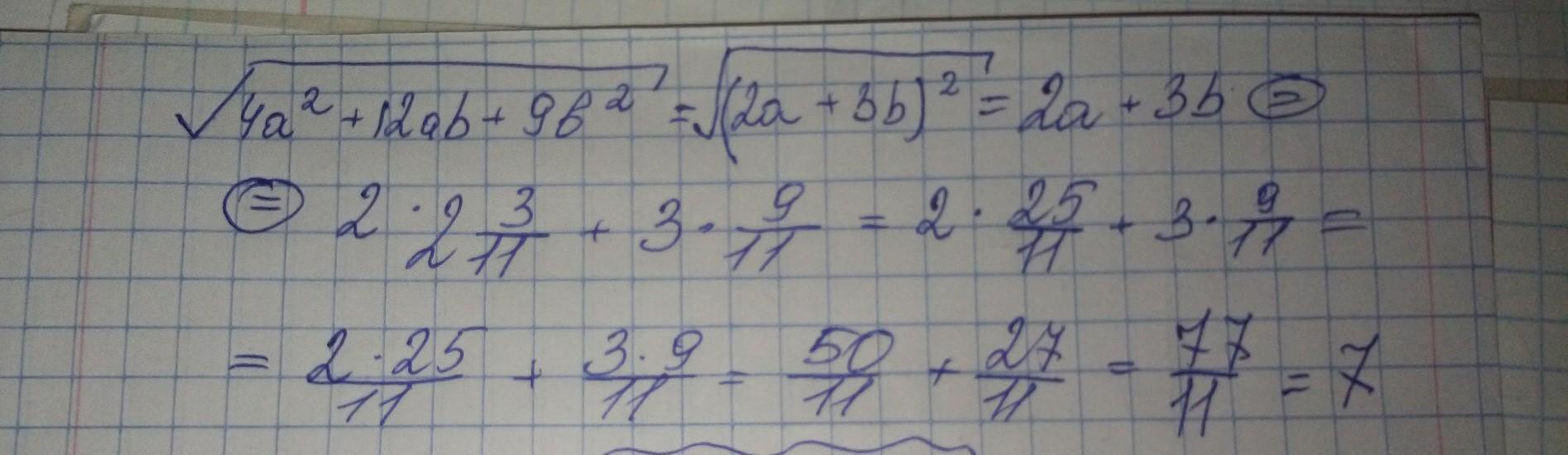
√4а² + 12аb + 9b²=
√(2a + 3b)² =2a + 3b
2*2. 3/11 + 3*9/11 =
2 * 25/11 + 3 * 9/11 =
50/11 + 27/11 = 77/11 = 7
Ответ: 7
Ответ дал:
4
Ответ на фото, если возникли какие-то вопросы, спрашивай.
Приложения:


Вас заинтересует
2 года назад
2 года назад
2 года назад
2 года назад
8 лет назад
8 лет назад
9 лет назад