СРОЧНО, помогите плиз с алгеброй, нужно до 23.12.21, 10:00 по МСК!!!
P.S даю 100 баллов, прошу вас не проходите мимо, если можете помочь ;)
P.S 2 Халявщики лесом...
Приложения:


MagdaSinger:
https://znanija.com/task/46650033 Вот здесь есть ответ на второй вопрос, завтра попробую с утра первый посмотреть
Ответы
Ответ дал:
1
Ответ:
Объяснение:
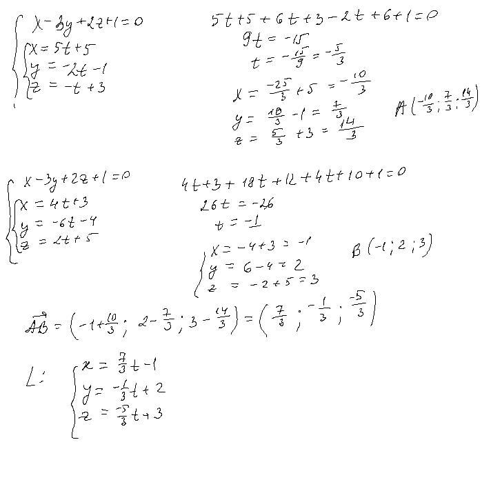
вторая задача
Приложения:

Вас заинтересует
2 года назад
2 года назад
2 года назад
2 года назад
9 лет назад