• Предмет: Алгебра
  • Автор: Аноним
  • Вопрос задан 11 лет назад

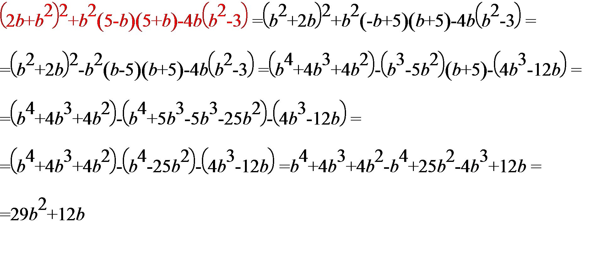
упростите выражение:

(2b+b^2)^2+b^2(5-b)(5+b)-4b(b^2-3)=

 

Ответы

Ответ дал: triolana
0

файл

=========================

Приложения:
Ответ дал: Натали95
0

4В в квадрате + 4В в 3 степени + В в 4 степени + 25В в квадрате -В в 4 степени -4В в 3 степени+ 12В =  29В в квадрате +12В

Приложения:
Вас заинтересует