Ответы
Ответ дал:
0
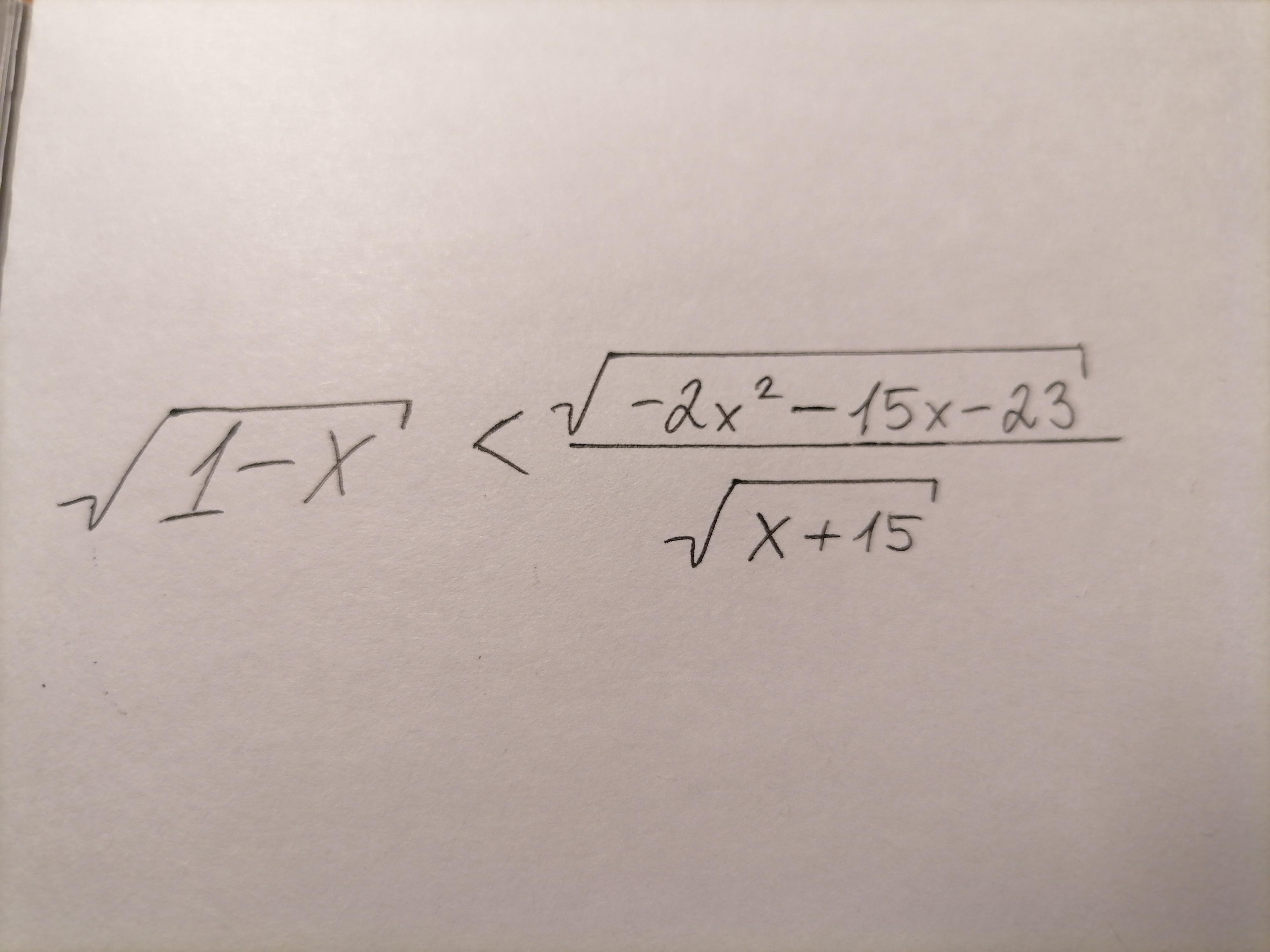
сначала обе части умножь на знаменатель и возведи в квадрат обе части неравенства
(1-x)(x+15)<-2x^2-15x-23
x+15-x^2-15x<-2x^2-15x-23
все переноси в левую часть
x^2+x+38<0
дискриминант меньше нуля, значит нет корней
(1-x)(x+15)<-2x^2-15x-23
x+15-x^2-15x<-2x^2-15x-23
все переноси в левую часть
x^2+x+38<0
дискриминант меньше нуля, значит нет корней
Вас заинтересует
2 года назад
3 года назад
9 лет назад
10 лет назад