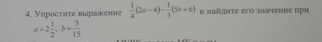
упростите выражение 1/4 (2а- 4)1/3(5 а+6)и найдите его значение при а=1
2_,
2
b=3/15
дам 40 балов и зделаю лучшим ответом
Приложения:

Ответы
Ответ дал:
0
Ответ:
-2 1/12
Пошаговое объяснение:
a=2 1/2=5/2; b=3/15=1/5
1/4 ·(2a-4) -1/3 ·(5b+6)=1/4 ·(2·5/2 -4) -1/3 ·(5·1/5 +6)=1/4 ·(5-4) -1/3 ·(1+6)=1/4 ·1 -1/3 ·7=1/4 -2 1/3=3/12 -2 4/12=-2 1/12
Вас заинтересует
2 года назад
2 года назад
2 года назад
8 лет назад
8 лет назад
9 лет назад