• Предмет: Алгебра
  • Автор: milkysasha6
  • Вопрос задан 7 лет назад

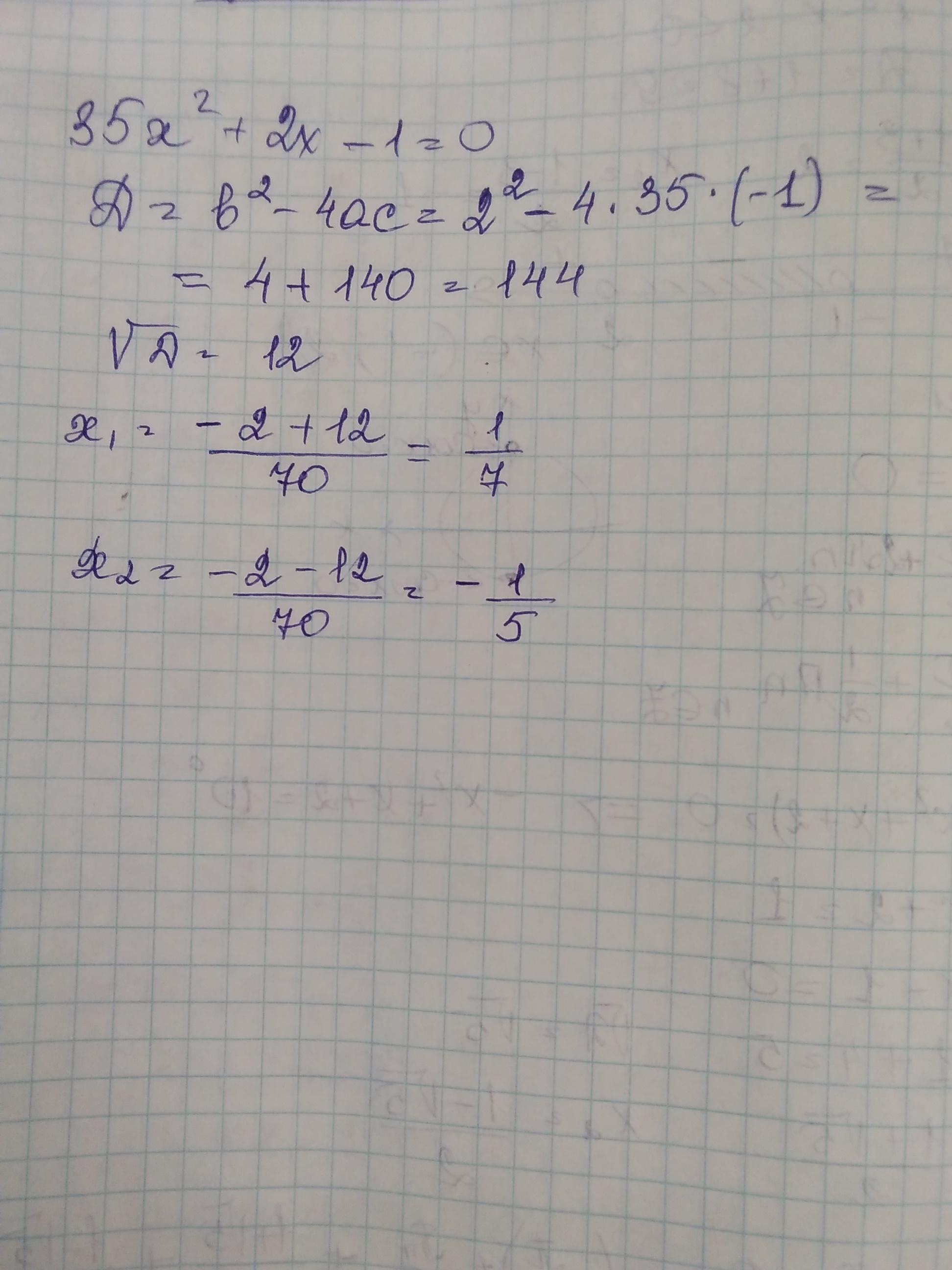
Найдите корни уравнения через дискриминант: 35х2 + 2x – 1= 0;​


MizoriesKun: Знак степени где?????
milkysasha6: степень находиться после 35х в квадрате
MizoriesKun: Вы научитесь правильно условие писать, иначе правильных решений не будет
MizoriesKun: 35х^(2) + 2x – 1= 0;​
MizoriesKun: Вот так пишутся квадратные уравнения
milkysasha6: хорошо

Ответы

Ответ дал: MizoriesKun
3

Смотри......................

Приложения:
Вас заинтересует