• Предмет: Математика
  • Автор: xxxarinaxxx09
  • Вопрос задан 7 лет назад

срочнооо молюююю ааааа​

Приложения:

Ответы

Ответ дал: devochaispitera
1

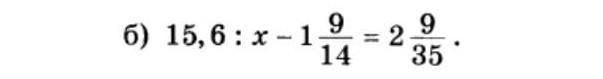
15,6 : х - 1 9/14 = 2 9/35

15,6 : х =1 9/14 + 2 9/35;

15,6 : х =3 63/70;

х=15,6 : 3 63/70;

х=4

Ответ: х=4


xxxarinaxxx09: СПАСИБОО БОЛЬШОЕ
devochaispitera: всегда пожалуйста <3 <3 <3
xxxarinaxxx09: а как 4 получилосьь
devochaispitera: 15,6 : 3 63/70 = 15,6 : 3,9 = 4. я хз как сказать, просто деление..
xxxarinaxxx09: спасибо
Ответ дал: nataliakerova787
1

Ответ:

x=4

Пошаговое объяснение:

_____________________

Приложения:

xxxarinaxxx09: Спасибо большое
Вас заинтересует