• Предмет: Алгебра
  • Автор: akylaltynorazbaevy
  • Вопрос задан 7 лет назад

10ax4×0,1a5×(-0,5a2x8)​

Ответы

Ответ дал: tESEE
0

Ответ:

10ax4×0,1a5×(-0,5a2x8)​

Объяснение:

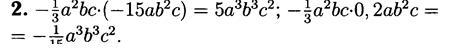
Приложения:
Вас заинтересует