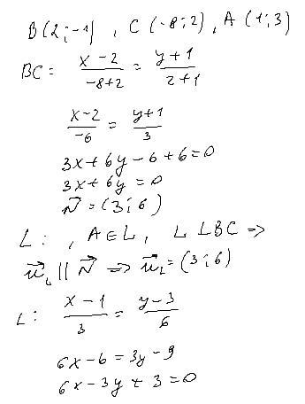
Составить уравнение прямой, проходящей через точку A ( 1.3) И перпендикулярной к прямой,соединяющей точки B(2,-1) И С ( -8,2
Ответы
Ответ дал:
1
Ответ:
Объяснение:
прямая перпендикулярная к ВС, значит вектор нормали ВС коллинеарный к направляющему вектору искомой прямой
Приложения:

shele221:
Помоги с этим пожалуйста https://znanija.com/task/47341305
Вас заинтересует
2 года назад
2 года назад
8 лет назад
8 лет назад
9 лет назад
9 лет назад