• Предмет: Алгебра
  • Автор: tESEE
  • Вопрос задан 7 лет назад

Помогите срочно!!!дам 30 баллов

Приложения:

Ответы

Ответ дал: Itakeyourquenn
0

Ответ:

Всё ниже.

Объяснение:

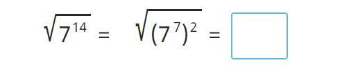
 \sqrt[z]{x {}^{y} }  = x {}^{ \frac{y}{z} }

 \sqrt{7 {}^{14} }  = 7 {}^{ \frac{14}{2} }  = 7  {}^{7}

Вас заинтересует