• Предмет: Алгебра
  • Автор: activchicdlyalubimok
  • Вопрос задан 7 лет назад

СРОЧНО! ДАЮ 50 БАЛЛОВ!!

Решите уравнения(можно только ответ)

Приложения:

Ответы

Ответ дал: Аноним
1

Відповідь:

1)0; \frac{5}{4}

2) 0.7; 2

Пояснення:

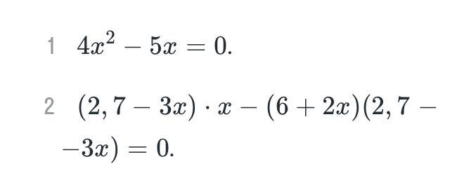
1.

4x^2-5x = 0\\x(4x-5)=0\\\left \{ {{x_1 = 0} \atop {4x_2-5=0}} \right.\left \{ {{x_1 = 0} \atop {4x_2=5}} \right. \left \{ {{x_1 = 0} \atop {x_2 = \frac{5}{4}}} \right.

Відповідь: 0; \frac{5}{4};

2.

(2,7 - 3x)*x-(6+2x)(2,7 - 3x)= 0;\\(2,7 - 3x)(x-(6+2x))=0;\\(2,7 - 3x)(x-6-2x)=0;\\(2,7 - 3x)(6-3x)=0;\\\left \{ {{2,7 - 3x_1 = 0} \atop {6-3x_2 = 0}} \right. ;\left \{ {{ 3x_1 = 2,7 } \atop {3x_2 = 6}} \right. ; \left \{ {{x_1=0,7} \atop {x_2=2}} \right.

Відповідь: 0.7; 2

Вас заинтересует