Ответы
Ответ дал:
1
Ответ:
Объяснение:
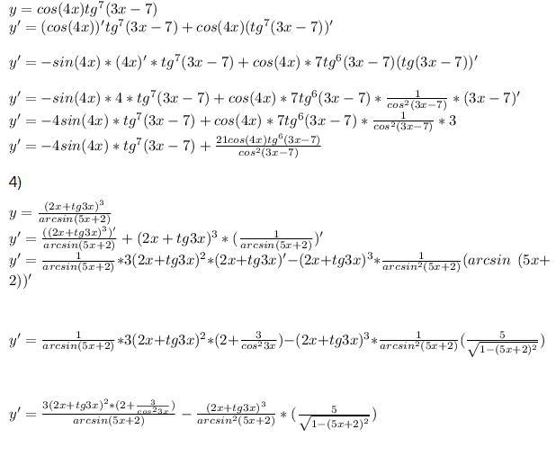
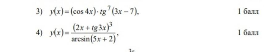
y(x)=cos4x*tg⁷(3x-7)
y'=-4sin4x*tg⁷(3x-7)+cos4x*(1\cos²(3x-7))*7tg⁶(3x-7)*3
y=(2x+tg3x)³\(arsin(5x+2)
y'=[3(2x+tg3x)²*(2+(1\cos²3x)*3)(arcsin(5x+2)]-[(2x+tg3x)³*(5\√(1-(5x-2)²))]\[arcsin²(5x+2)]
arcsin²(5x+2) - стоит в знаменателе
aallllll:
спасибо большое
Ответ дал:
1
Ответ:
3)
Объяснение:
3)
4)
Приложения:

Вас заинтересует
2 года назад
2 года назад
2 года назад
2 года назад
9 лет назад