• Предмет: Математика
  • Автор: reginailusina195
  • Вопрос задан 7 лет назад

Помогите с уравнением очень нужно 50 баллов​

Приложения:

Ответы

Ответ дал: Аноним
1

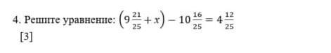
\displaystyle (9\frac{21}{25}+x)-10\frac{16}{25}=4\frac{12}{25}\\\\(\frac{246}{25}+x)-\frac{266}{25}=\frac{112}{25}\\\\\frac{246}{35}+x-\frac{266}{25}=\frac{112}{25}\\\\-\frac{4}{5}+x=\frac{112}{25}\\\\x=\frac{112}{25}+\frac{4}{5}\\\\x=\frac{132}{25}=5\frac{7}{25}=5,28


reginailusina195: спасибо
Ответ дал: MagdaSinger
1

Ответ:

(9   \dfrac {  21   } {  25   }  +x)- 10   \dfrac {  16   } {  25   }  = 4   \dfrac {  12   } {  25   }  |*25 \\225+21+25x-(250+16)=112\\246+25x-266=112\\-20+25x=112\\25x=112+20\\25x=132\\\\x=\dfrac{132}{25} =5\dfrac{7}{25}

Пошаговое объяснение:

Вас заинтересует