Упрости выражение.
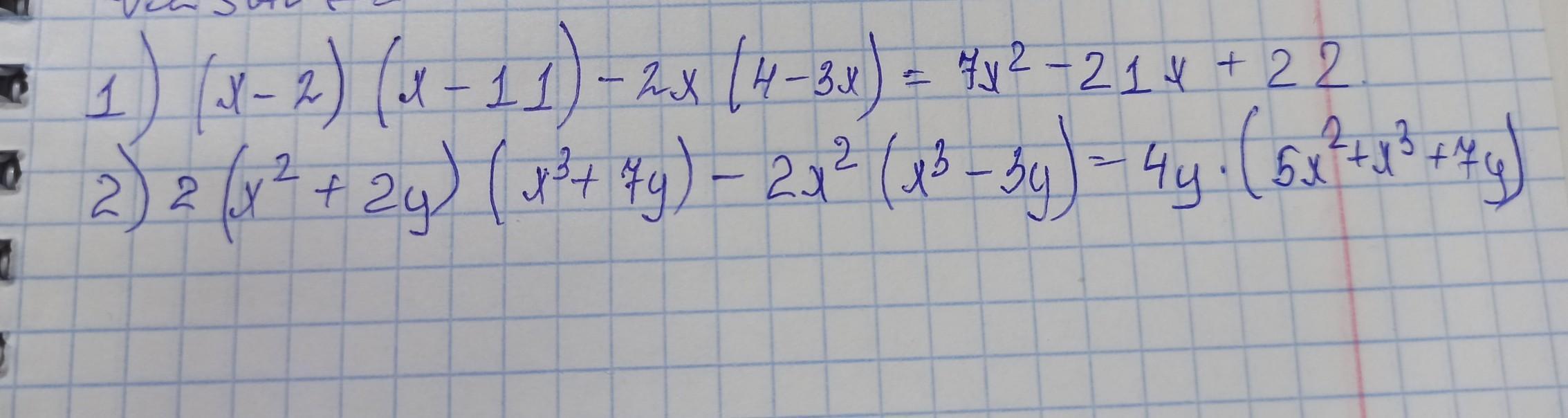
1. (x-2)(x-11)-2x(4-3x) =
2. 2(x²+2y)(x³+7y)-2x²(x³-3y)
Пожалуйста помогите, всего 10 баллов осталось.
Ответы
Ответ дал:
1
Ответ:
...,...........................
Приложения:

Вас заинтересует
2 года назад
2 года назад
2 года назад
2 года назад
9 лет назад