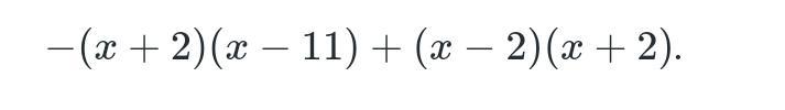
Определи, какому натуральному числу кратно значение выражения при всех натуральных значениях x.
Приложения:

Ответы
Ответ дал:
1
Ответ:
9
Объяснение:
Один из множителей полученного произведения равен 9, значит, значение выражения, при любом натуральном х кратно числу 9.
Вас заинтересует
2 года назад
2 года назад
2 года назад
8 лет назад
8 лет назад
9 лет назад