• Предмет: Математика
  • Автор: polinkaSUPERSTAR
  • Вопрос задан 7 лет назад

помогите пожалуйста очень нужно пожалуйста​

Приложения:

Ответы

Ответ дал: dyexfnf
2

Ответ:

Пошаговое объяснение:

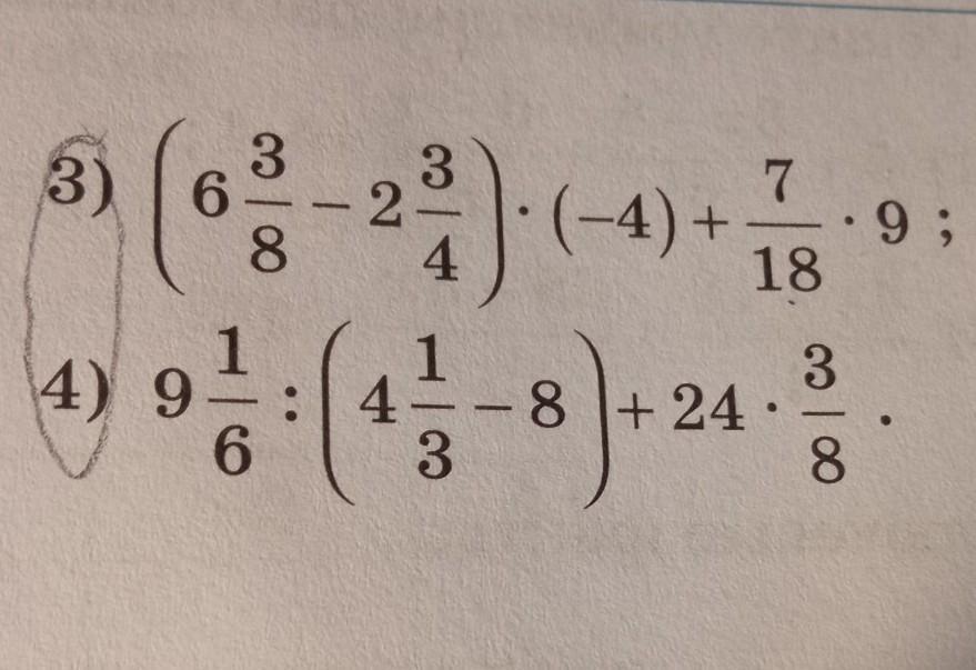
3) (6 3/8 - 2 3/4) *(-4) +7/18 *9= (51/8 -11/4)* (-4) + 7/2= (51/8 - 22/8)* (-4) + 7/2=

= 29/8 * (-4) +7/2= - 29/2 + 7/2= -22/2 = - 11

б) 9 1/6 :(4 1/3 -8) + 24* 3/8= 55/6 : ( - 3 2/3) + 9= 55/6 * (- 3/11) +9= 6 1/2

Вас заинтересует