Решите задачу по физике , с нормальной формулой, можно аналогичную задачу скрин. Помогите пожалуйста

Ответы
Ответ:
Объяснение:
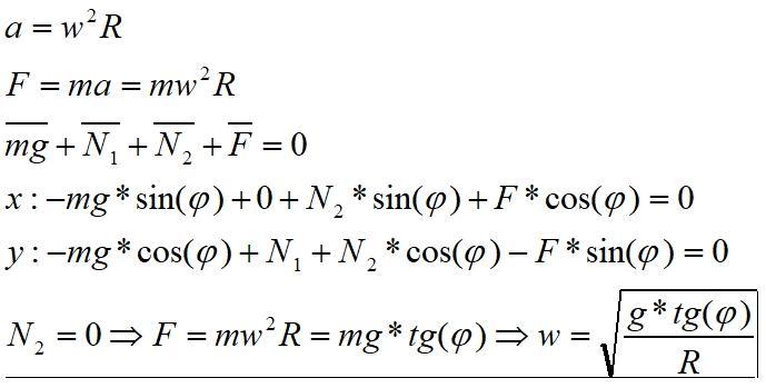
на дне вращающегося стакана находится шар
так как шар движется по круговой траектории с ускорением а=w²R то в неинерциальной системе отсчета где стакан неподвижен на шар действует сила инерции F равная по модулю ma и направленная противоположно ускорению а.
также на шар действуют сила тяжести mg, сила реакции опоры N₁ от наклонной поверхности и сила реакции опоры N₂ от горизонтальной поверхности.
так как шар может двигаться только вдоль наклонной поверхности то систему координат разместим с наклоном так чтобы ось х была направлена вдоль наклонной стенки
условием начала движения будет равенство нулю силы реакции опоры N₂
остальное (картинка и вывод формулы) - во вложении
ответ w=корень( g*tg(60)/R) = корень( 10*tg(60)/0,1) = 13,16 рад/с

