Ответы
Ответ дал:
1
+ + + + + (2) - - - - - (7) + + + + +
///////////// //////////////
Ответ дал:
0
Ответ:
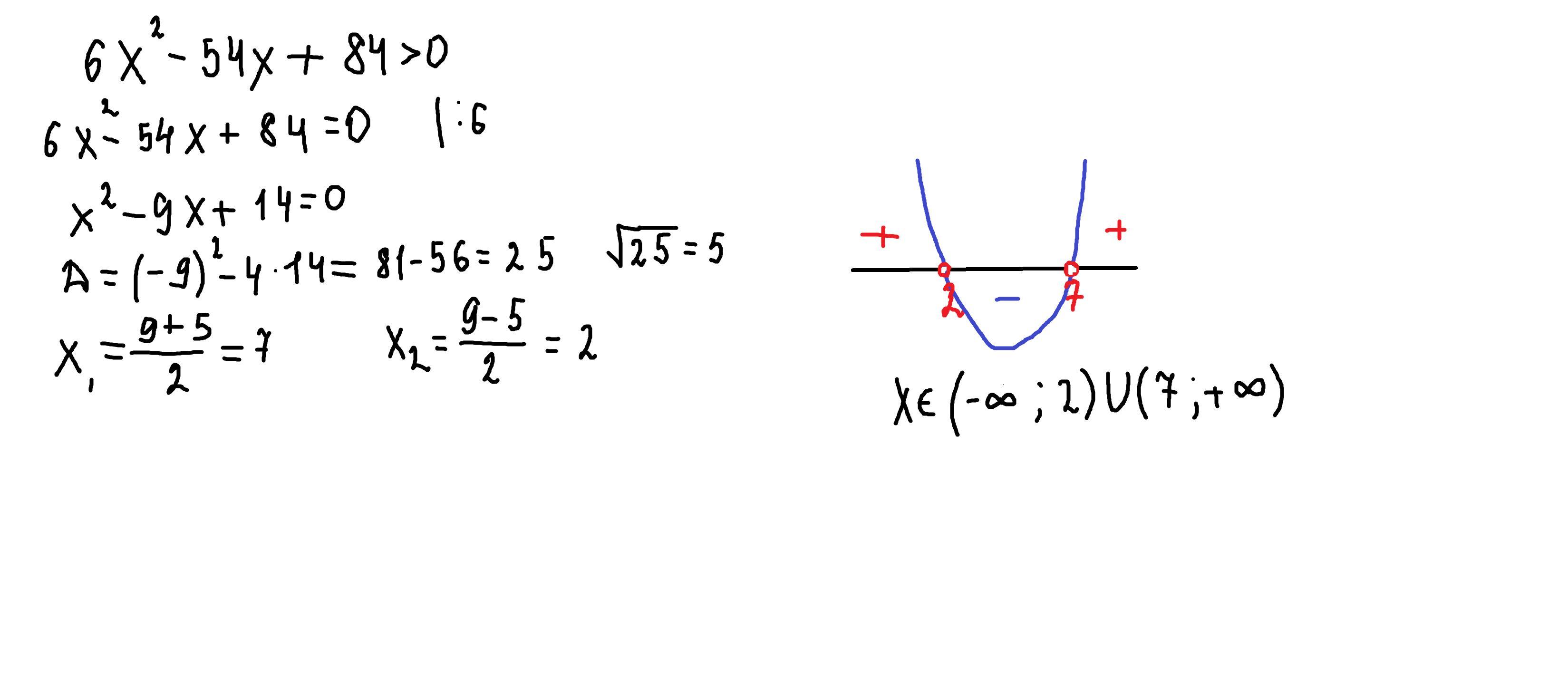
Объяснение:решение внизу
приравниваем правую часть к 0.
сокращаем на 6,находим дискриминант ,Д>0,значит 2 корня.Отмечаем их на прямой и рисуем схематически параболу.Т.к а>0,то ветви направлены вверх.Т.к неравенство >0,то записываем промежутки где ветви параболы выше прямой.
Приложения:

Вас заинтересует
2 года назад
8 лет назад
8 лет назад
9 лет назад