• Предмет: Математика
  • Автор: MashaVershininaHello
  • Вопрос задан 7 лет назад

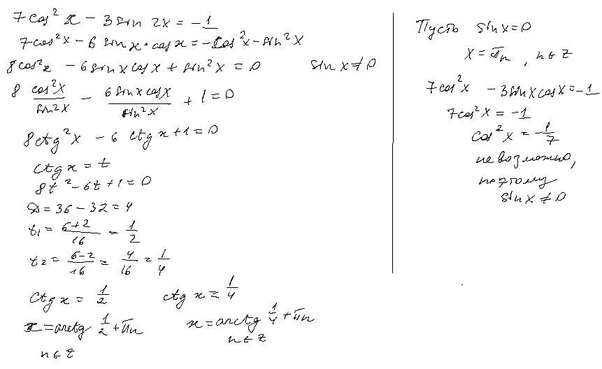
7cos^2x-3sin2x=-1
Помогите пожалуйста с подробным решением

Ответы

Ответ дал: dashulka22222
0

Ответ:

Пошаговое объяснение:

Приложения:
Вас заинтересует