• Предмет: Алгебра
  • Автор: lestwins12312
  • Вопрос задан 7 лет назад

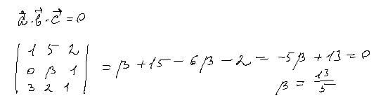
Определить ß, при котором компланарны векторы

Приложения:

Ответы

Ответ дал: buryjviktor100
1

Ответ:

13/5

Объяснение:

.

.

.

.

.

.

.

.

....

.

..

.

.....

Ответ дал: dashulka22222
0

Ответ:

Объяснение:

вектора компланарные, значит их смешанное произведение равно нулю

Приложения:
Вас заинтересует