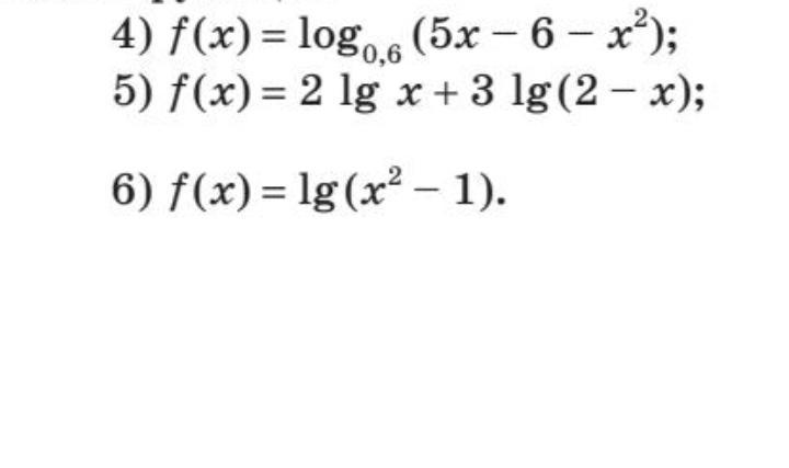
Объясните пожалуйста как это решается. Алгебра, логарифмические функции. Найти область определения функции
Приложения:

olgaua64:
Подлогарифмические функции >0
Ответы
Ответ дал:
0
Ответ:
Объяснение:
!!!!!!!!!!!!!!!!!!!!!!!
Приложения:

Вас заинтересует
2 года назад
2 года назад
2 года назад
8 лет назад
8 лет назад
9 лет назад