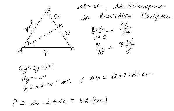
У рівнобедреному трикутнику основа менша від бічної сторони на 8 см, а бісектриса ділить бічну сторону на відрізки, які відносяться як 3:5. Знайдіть периметр трикутника.
Ответы
Ответ дал:
2
Ответ:
Пошаговое объяснение:
Приложения:

Вас заинтересует
2 года назад
2 года назад
2 года назад
8 лет назад
9 лет назад