Ответы
Ответ дал:
1
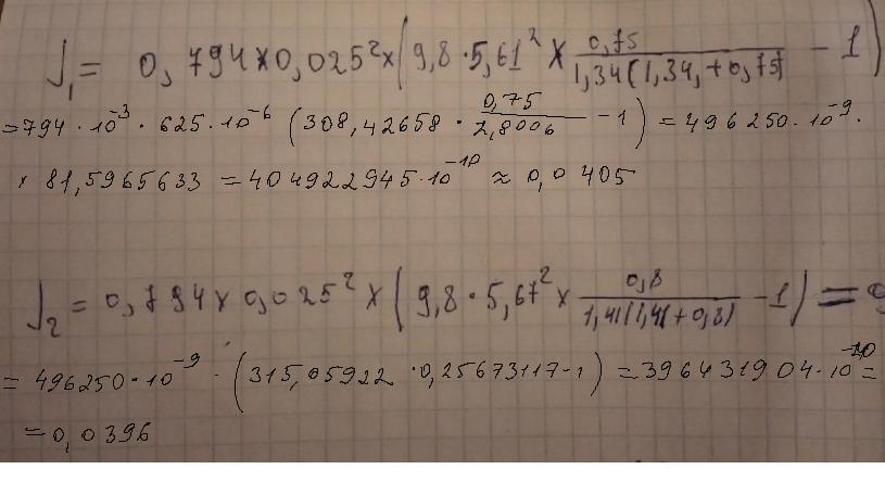
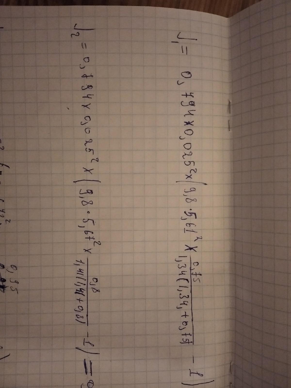
Ответ:
Пошаговое объяснение:
Приложения:



Вас заинтересует
2 года назад
2 года назад
2 года назад
8 лет назад