Ответы
Ответ дал:
1
Ответ:
Вот. Можно лучший.
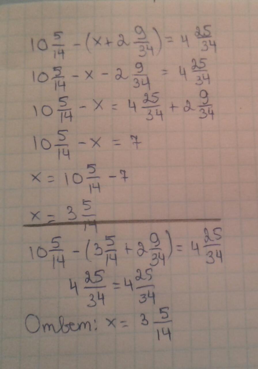
Пошаговое объяснение:
Приложения:

Ответ дал:
0
Ответ:
x = 47/14 = 3 5/14
Пошаговое объяснение:
10 5/14 - (x + 2 9/34) = 4 25/34
145/14 - (x + 77/34) = 161/34
145/14 - x - 77/34 = 161/34
145/14 - x = 238/34
145/14 - x = 119/17
2465/238 - x = 1666/238
2465/238 - 1666/238 = x
799/238 = 47/14
x = 47/14 = 3 5/14
Вас заинтересует
2 года назад
2 года назад
2 года назад
8 лет назад
8 лет назад
9 лет назад