• Предмет: Алгебра
  • Автор: baiana20061111
  • Вопрос задан 7 лет назад

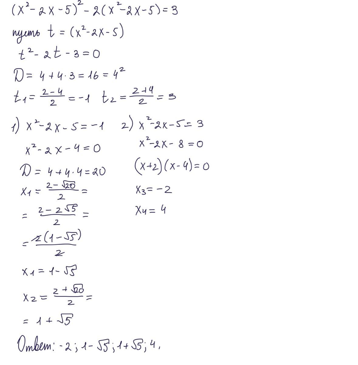
(X^2 -2x-5)^2 - 2 (x^2 -+2x-5)=3​

Ответы

Ответ дал: dreamer312
1
Подробное решение на фото
:)
Приложения:
Вас заинтересует