• Предмет: Математика
  • Автор: amira1018t
  • Вопрос задан 7 лет назад

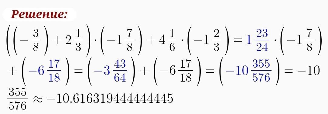
8. Вычислите. (-3/8+2 1/3)*(-1 7/8)+4 1/6*(-1 2/3)
пожалуйста у меня СоЧ!!!​


tatsach: Проверьте условие

Ответы

Ответ дал: molpim234
1

Ответ:

Держите,Надеюсь помогла!

Приложения:

amira1018t: спасибо большое, хоть вы и чуть опоздали на день!
molpim234: Простите,не успел)
Вас заинтересует