• Предмет: Математика
  • Автор: limanaisaeva
  • Вопрос задан 7 лет назад

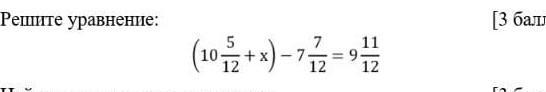
Решите уравнение дробное.​

Приложения:

Ответы

Ответ дал: Khodanovich1979
0

Відповідь:

Покрокове пояснення:

10\frac{5}{12}+x=9 \frac{11}{12} +7\frac{7}{12} \\10\frac{5}{12}+x=17\frac{6}{12} \\x=7\frac{1}{12}

Вас заинтересует