Ответы
Ответ дал:
1
Ответ:
Объяснение:
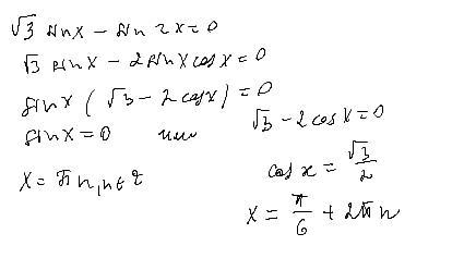
синус двойного угла разложить по формуле и вынести общее за скобки
Приложения:

Вас заинтересует
2 года назад
2 года назад
2 года назад
8 лет назад
8 лет назад
9 лет назад