Ответы
Ответ дал:
1
Ответ:
m=5 3/14
Пошаговое объяснение:
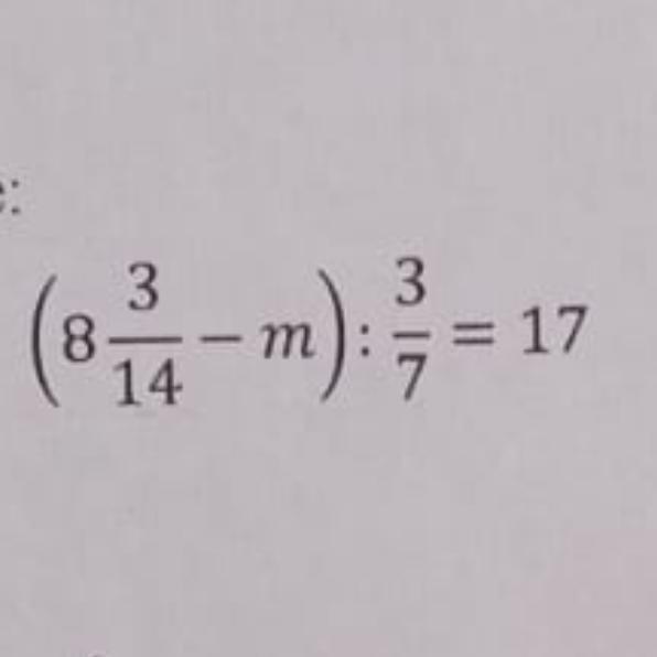
8 3/14-m=3/7*17
8 3/14-m=51/7=7 2/7
m=8 3/14-7 4/14
m=13/14
Elena3982:
НЕПРАВИЛЬНО.
Ответ дал:
1
Пошаговое объяснение:
Вот тебе ответ...........
Приложения:

Вас заинтересует
2 года назад
2 года назад
2 года назад
2 года назад
8 лет назад
9 лет назад
9 лет назад