• Предмет: Математика
  • Автор: CePblu1
  • Вопрос задан 7 лет назад

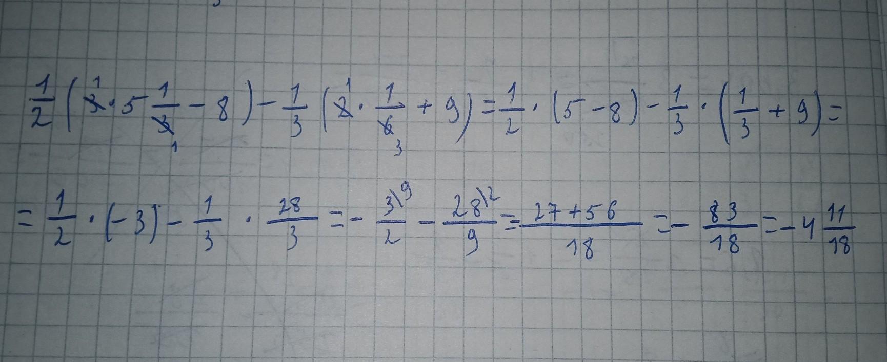
1/2(3*5 1/3-8)- 1/3(2*1/6+9)


Jaguar444: там же 5 целых, 1/3 ?

Ответы

Ответ дал: Jaguar444
3

Ответ:

Если что-то не понятно, обращайтесь

Приложения:
Ответ дал: 55555555552187
0

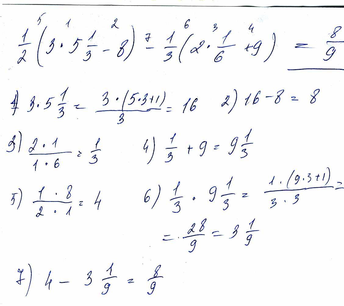
Ответ:

см ниже

Пошаговое объяснение:

1/2(3*5 1/3-8)- 1/3(2*1/6+9) = 8/9

по действиям на фото

Приложения:
Вас заинтересует