СРОЧНО РЕШИТЕ ПОЖАЛУЙСТА
Упрастите выражение:
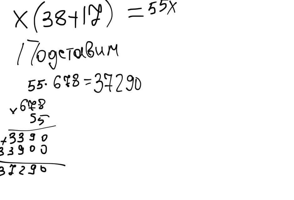
38x+17x и найдите его значение, если x=678
ПОСТАВЛЮ 99 БАЛОВ
Ответы
Ответ дал:
1
На фото)………………,……
………
………
Приложения:

Ответ дал:
1
38x+17x=(38+17)x=55x
x=678
55*678=37290
Вас заинтересует
2 года назад
2 года назад
2 года назад
2 года назад
8 лет назад
8 лет назад