Ответы
Ответ дал:
0
Ответ:
Пошаговое объяснение:
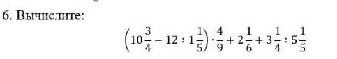
на фото
Приложения:

Ответ дал:
0
Ответ:
Подробное решение во вложении
Приложения:

Вас заинтересует
2 года назад
2 года назад
2 года назад
8 лет назад
9 лет назад
9 лет назад