Ответы
Ответ дал:
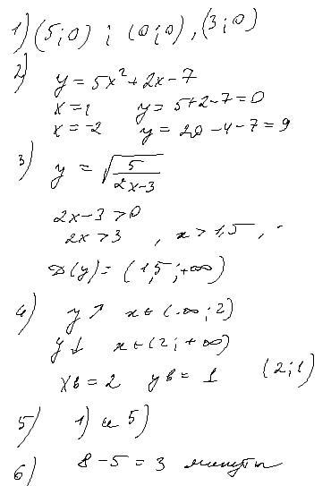
0
Ответ:
Пошаговое объяснение:
Приложения:

lehak8002:
это все 5 заданий?
Вас заинтересует
2 года назад
2 года назад
2 года назад
8 лет назад
9 лет назад