• Предмет: Математика
  • Автор: me4k2004
  • Вопрос задан 7 лет назад

Добрий день потрібна допомога з еліпсами

Приложения:

Ответы

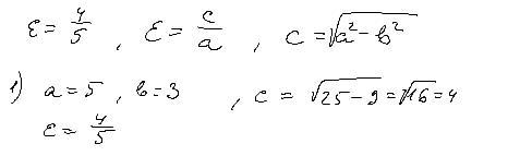
Ответ дал: dashulka22222
0

Ответ:

Пошаговое объяснение:

Приложения:
Вас заинтересует