• Предмет: Математика
  • Автор: ArthurCherepanov76
  • Вопрос задан 7 лет назад

В четырехугольнике MNPK сторона MN = у см. 1) Выразите остальные стороны этого четырехугольника, если: а) NP на 5 см меньше MN; b) РК в 4,25 раза больше MN; c) MK на 4 см больше РК. 2) Зная, что периметр MNPK равен 104 см и используя данные пункта 1, составьте уравнение. 3) Решите уравнение, полученное в пункте 2. Найдите длину MN. Найди значение выражения

Приложения:

ArthurCherepanov76: Уравнение нужно тоже решить
miki68: 1) MN=y , NP=y-5 , PK=4,25y , MK=4,25y+4
miki68: 2) 3) у+у-5+4,25у+4,25у+4=104 , 10,5у=105 , у=10 см (MN)
miki68: (№ 6) =-6,3/-10=0,63

Ответы

Ответ дал: NataMon
3

Ответ:

5. а) NP = у-5 см;  РК = 4,25у см ; MK = 4,25у+4 см

   MN = 10 см

6. -0,63

Пошаговое объяснение:

По условию, MN = у см. Тогда:

NP = у-5 см - на 5 см меньше MN

РК = 4,25у см - в 4,25 раза больше MN

MK = 4,25у+4 см - на 4 см больше РК

Периметр MNPK равен 104 см.

Составим уравнение:

у + у - 5 + 4,25у + 4,25у + 4 = 104

10,5у = 105

у = 105/10,5

у = 10 см - сторона MN

NP = 10-5 = 5 см

РК = 4,25*10 = 42,5 см

MK = 4,25*10+4 = 46,5 см

Найти значение выражения:

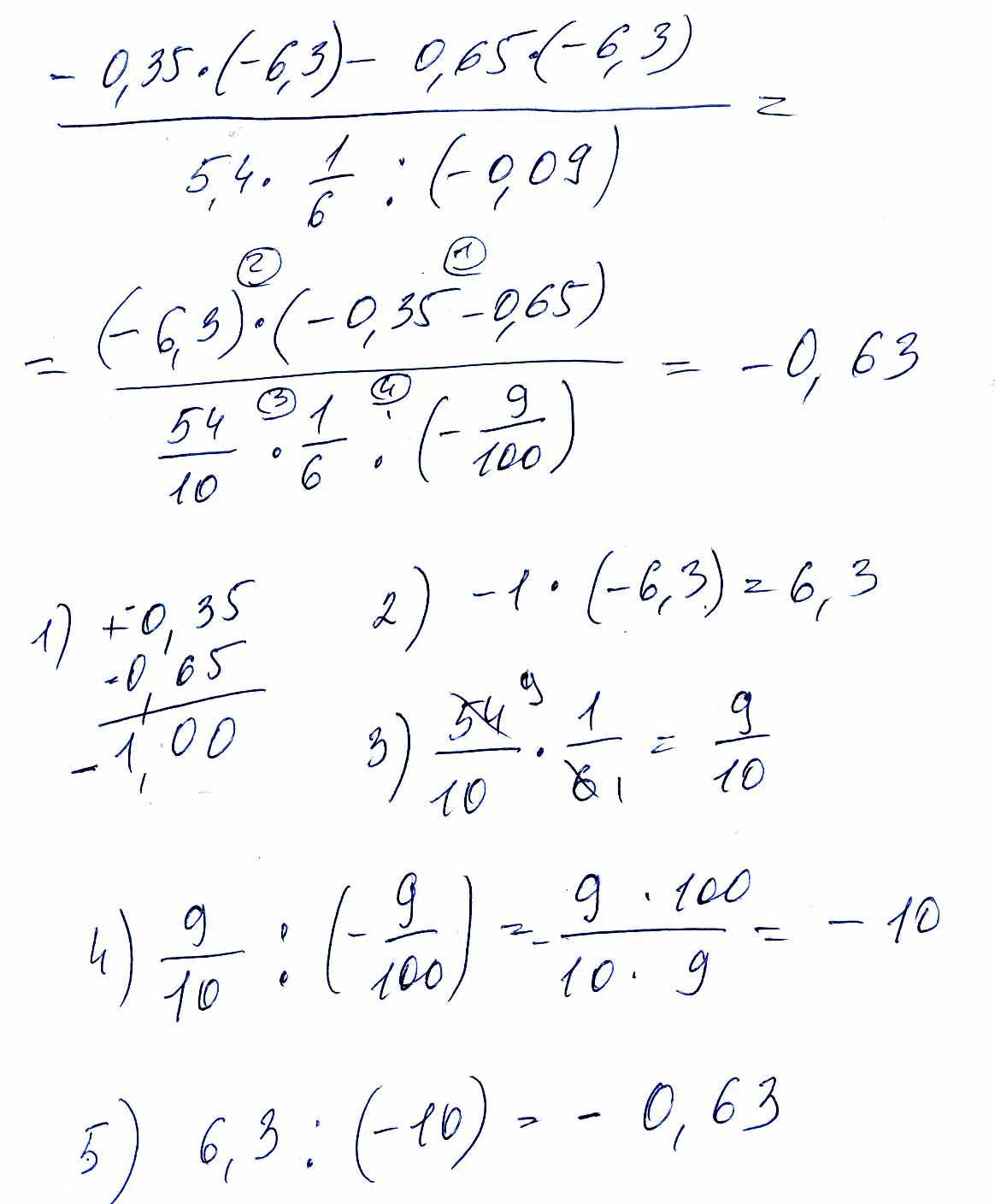
((-0,35(-6,3) - 0,65 * (-6,3)) : ((5,4 * 1/6 : (-0,09)) = -0,63

По действиям:

1. -0,35(-6,3) - 0,65 * (-6,3) = -6,3 * (-0,35 - 0,65) = -6,3 * (-1) = 6,3

2. 5,4 * 1/6 = 5 2/5 * 1/6 = 27/5 * 1/6 = 27/30 = 9/10 = 0,9

3. 0,9 : (-0,09) = -10

4.6,3 : (-10) = -0,63

Ответ дал: 55555555552187
0

Ответ:

2) MN=10

1) NP= 5, РК = 42,5, MK = 46,5

Пошаговое объяснение:

1)

a) NP+5=MN  ⇒  NP= y -5

b) РК = 4,25 * MN  ⇒ РК = 4,25 y

c)  MK = 4 + РК      ⇒    MK = 4 + 4,25 y

2)

P=104 см = MK + РК + MN + NP ⇒  4 + 4,25 y + 4,25 y + y -5+ у = 104

 4 + 4,25 y + 4,25 y + y -5+ у = 104

10,5у -1 = 104

10,5у  = 104 +1

10,5у  = 105

у = 105 /10,5

у=10

выражение см фото

Приложения:
Вас заинтересует