• Предмет: Геометрия
  • Автор: Bengereng
  • Вопрос задан 7 лет назад

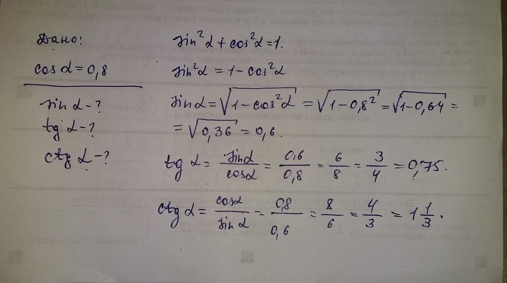
5. Найдите значения sin a, tga и ctga, если cos a = 0,8 Наличие формул обязательно.​


nodirmuhammedov: Можешь рисунок отправить

Ответы

Ответ дал: nodirmuhammedov
0

Ответ:

Должно быть правильным

Приложения:
Ответ дал: jalilovis
0

Объяснение:

лвлвлвлылылылылылыллылыцлцлц

Приложения:
Вас заинтересует