• Предмет: Алгебра
  • Автор: dinoGANG
  • Вопрос задан 7 лет назад

ДАЮ 20 БАЛОВ ЗА ПРИМЕР!!

Приложения:

Ответы

Ответ дал: Applegate
5

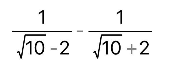
 \Large \it \frac{1}{ \sqrt{10} - 2 }  -  \frac{1}{ \sqrt{10} + 2 }  \Rightarrow \\  \large \it \Rightarrow \:  \underbrace{\frac{1}{ \sqrt{10} - 2 }} _{  \large\sqrt{10}  + 2} -  \underbrace{\frac{1}{ \sqrt{10} + 2 }} _{ \large \:  \sqrt{10} - 2 } =   \\\Large \it  =  \frac{ \sqrt{10}  + 2 -  \bigg( \sqrt{10} - 2 \bigg) }{ \bigg( \sqrt{10} - 2 \bigg) \bigg( \sqrt{10}   + 2 \bigg)}  =  \frac{4}{10 - 4}  =  \frac{2}{3} ; \\  \boxed{ \boxed{ \underline{ \huge \it \: otvet :  \Huge \:  \frac{2}{3} }}} \huge.

Вас заинтересует