Ответы
Ответ дал:
1
Ответ:
x=67/160
Пошаговое объяснение:
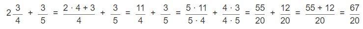
8х-3/5=2 3/4
8x=2 3/4+3/5
8x= 11/4+3/5
8x=55/20+12/20
8x=67/20=3 7/20
x=67/160
nerminh1985:
неправильно такого ответа нету:0
Ответ дал:
0
8Х - 3/5 = 2 3/4
8X = 11/4 + 3/5
8X = 55/20 + 12/20
8X = 67/20
Х = 67/20 : 8
Х = 67/160
Ответ: 67/160
Приложения:


Вас заинтересует
2 года назад
2 года назад
2 года назад
8 лет назад