• Предмет: Математика
  • Автор: kristinaarinushkina1
  • Вопрос задан 7 лет назад

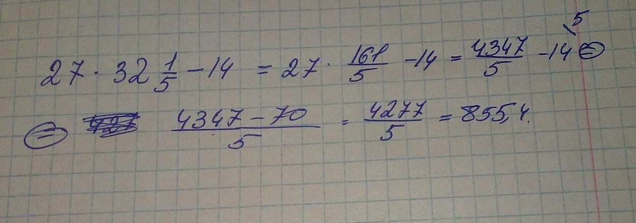
вычислите 27 32 1/5 - 14
27 \times 32 \frac{1 }{5}  - 14

Ответы

Ответ дал: Rozali9A
0

Ответ на фото...............

Приложения:

kristinaarinushkina1: это не правильный ответ, но спасибо)
Rozali9A: правда? я бы хотела попросить вас, сказать мне правильный ответ, хлчк найти ошибку, благодарю заранее)
kristinaarinushkina1: =27*(2^5)1/5-14=27*2-14=40
Rozali9A: а, вот как, это две разные темы у нас с тобой
Rozali9A: исправлю, благодарю за ответ ;)
Rozali9A: а ты сама это решила или в классе с учителем?
Вас заинтересует