• Предмет: Математика
  • Автор: ajselmuratova78
  • Вопрос задан 7 лет назад

ПОМОГИТЕ ПОЖАЛУЙСТА ЭТО НОРМАЛЬНЫЙ ОТВЕТ И 99Балов ЕСЛИ НЕ НОРМАЛЬНЫЙ ОТВЕТ ТО БАН!!ЗАДАНИЕ НА ФОТО

Приложения:

Ответы

Ответ дал: parus77
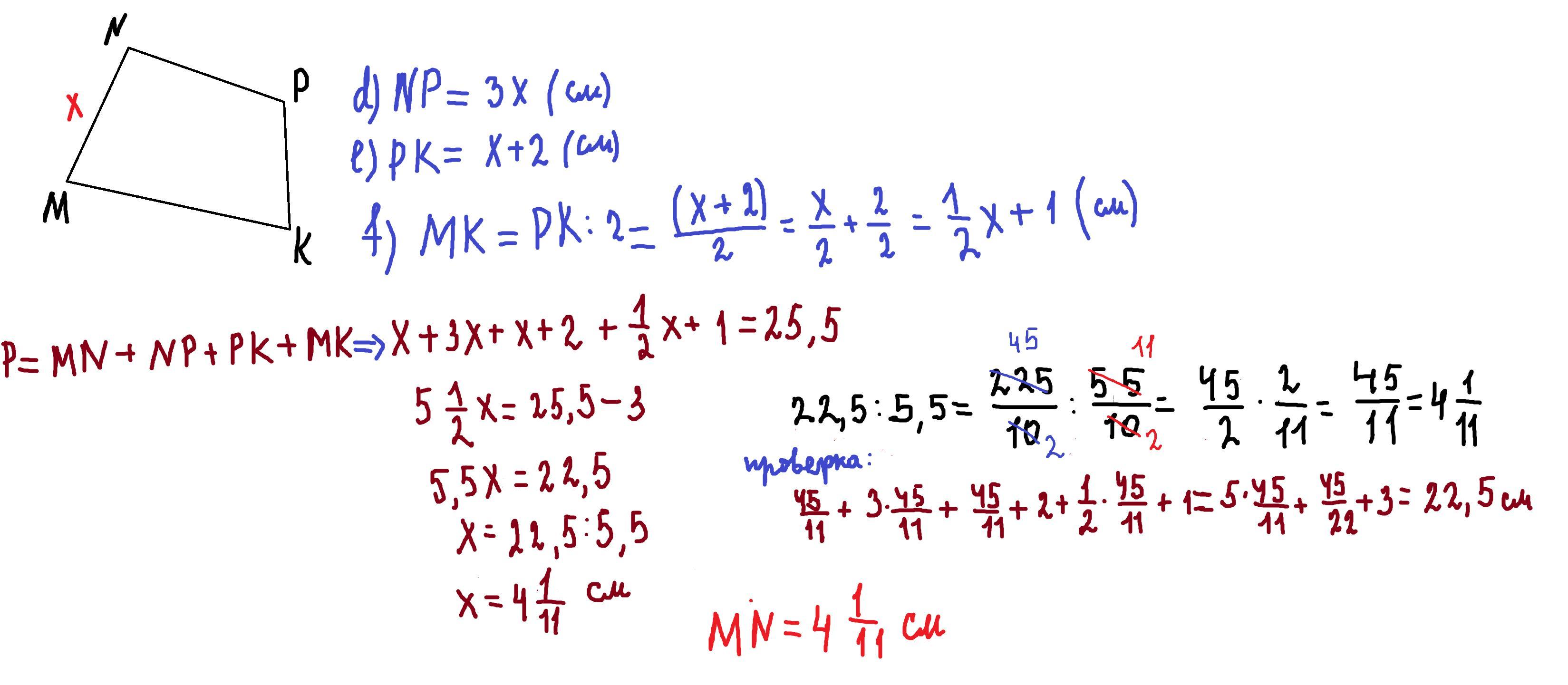
1

Ответ:

MN=4 1\11 cм

Пошаговое объяснение:

решение внизу

где не понятно-спрашивайте.

Приложения:

ajselmuratova78: Сспспс
ajselmuratova78: Я вас обожаю
ajselmuratova78: Вы очень умный
parus77: ты хоть на аватарку посмотри.
Вас заинтересует