Господа и дамы знатоки! Сердечно вас прошу выполнить это задание как можно быстрее, завтра у меня сдача
Решите уравнения:
Приложения:



Аноним:
я могу решить, но не поместятся три примера (ограничения), раздели на каждый вопрос по одному примеру
Ответы
Ответ дал:
1
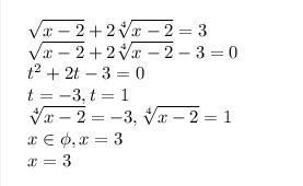
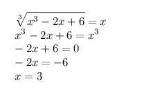
Ответ предоставлен на фото.
Приложения:



Вас заинтересует
2 года назад
2 года назад
2 года назад
2 года назад
8 лет назад