• Предмет: Алгебра
  • Автор: alox9836
  • Вопрос задан 7 лет назад

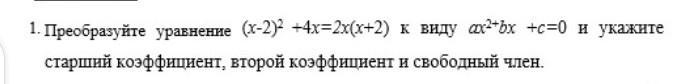
помогите пожалуйста это соч ​

Приложения:

Ответы

Ответ дал: natali198112306
1

Ответ:

х²-4х+4+4х=2х²+4х

х²+4-2х²-4х=0

-х-4х+4=0

а=-1   в=-4  с=4

Объяснение:


alox9836: спасибо большое
Вас заинтересует