• Предмет: Математика
  • Автор: dgame4922
  • Вопрос задан 7 лет назад

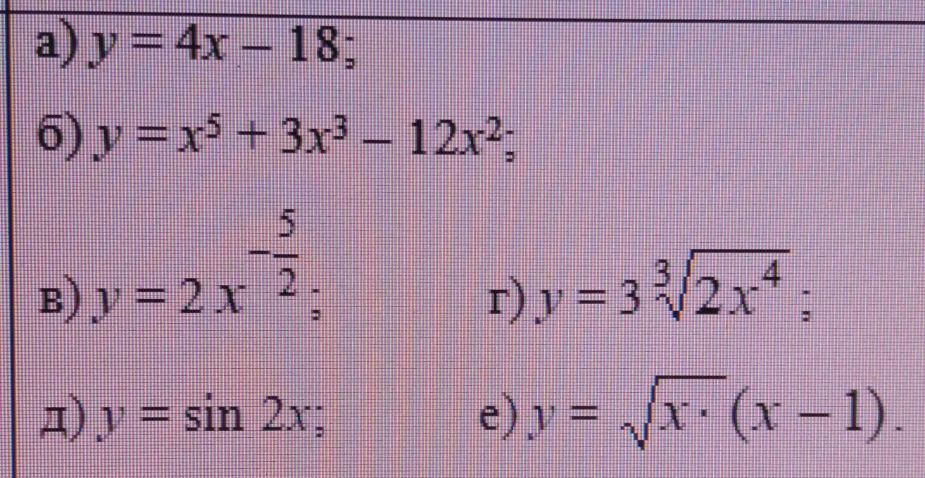
Вычислите производные функций.​

Приложения:

Ответы

Ответ дал: userneermin
0

Ответ:

а)

y = 4x - 18  \\ 0 = 4x - 18 \\  - 4x =  - 18 \\ x =  \frac{9}{2}  \\ x = 4.5

б)

у=x⁵+3x³-12x²

y=0⁵+3×0³-12×0²

y=0

Вас заинтересует