• Предмет: Математика
  • Автор: inwie
  • Вопрос задан 7 лет назад

100 БАЛОВ СРОЧНО МАТЕМАТИКА 7 КЛАСС

Приложения:

rvana381: Удали пж решение оно не втавилось решение
rvana381: Удали пж решение оно не втавилось решение.
rvana381: Удали пж решение оно не втавилось решение,
rvana381: Удали пж решение оно не втавилось решение...
rvana381: спс что удалили

Ответы

Ответ дал: iramazurk
1

Ответ:

Пошаговое объяснение:

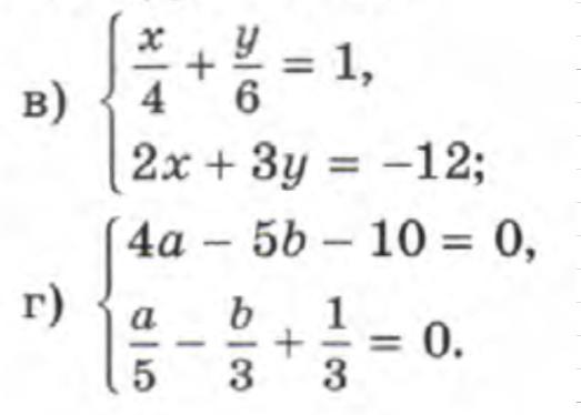
В)

х/4 + у/6 = 1 | * 12

2х + 3у = -12

12х/4 + 12у/6 = 12

2х + 3у = -12

3х + 2у = 12 | :2

2х + 3у = -12

1,5х + у = 6

2х + 3у = -12

у = 6 - 1,5х

2х + 3у = -12

1)

2х + 3у = -12

2х + 3(6 - 1,5х) = -12

2х + 18 - 4,5х = -12

2х - 4,5х = -12 - 18

-2,5х = -30

х = -30 : (-2,5)

х = 12

2)

у = 6 - 1,5х

у = 6 - 1,5*12

у = 6 - 18

у = -12

Ответ: (12; -12)

Г)

4а - 5в - 10 = 0

а/5 - в/3 + 1/3 = 0

4а - 5в = 10

а/5 - в/3 = -1/3 | *(-15)

4а - 5в = 10

-3а + 5в = 5

а = 15

4а - 5в = 10

4а - 5в = 10

4*15 - 5в = 10

60 - 5в = 10

5в = 60 - 10

5в = 50

в = 50 : 5

в = 10

Ответ : (15; 10)

Вас заинтересует