Ответы
Ответ дал:
0
Ответ:
Пошаговое объяснение:
Приложения:

Ответ дал:
0
Ответ:
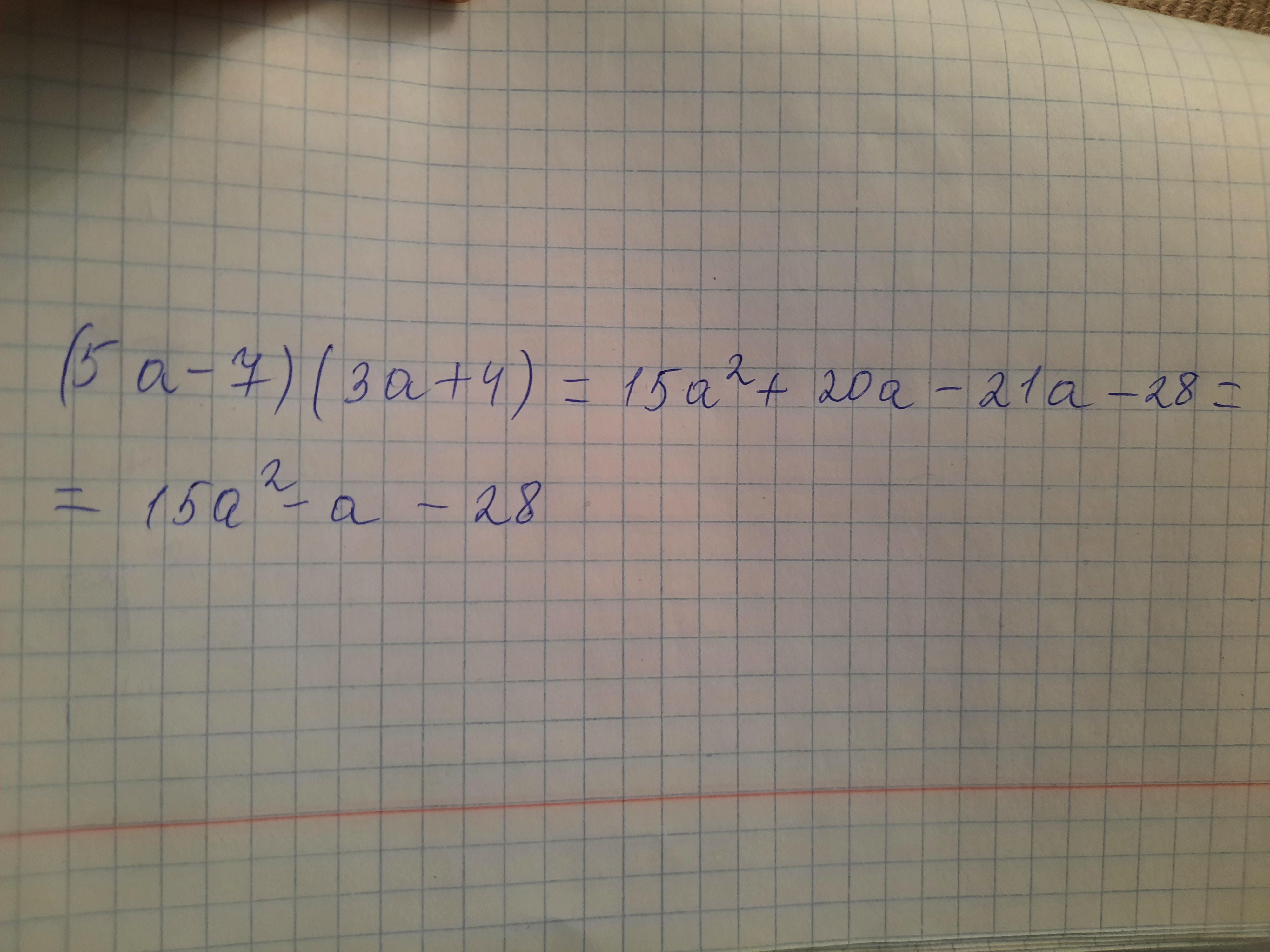
(5a-7)(3a+4)
15a^2+20a-21a-28
15a^2-a-28
Вас заинтересует
2 года назад
8 лет назад
8 лет назад
9 лет назад