• Предмет: Алгебра
  • Автор: eto50mlradosty
  • Вопрос задан 7 лет назад

1. Найди корни квадратного уравнения x2+8x+16=0
!
!
!
!

2. Реши квадратное уравнение 2x2−5x+3=0.
!
!
!
!

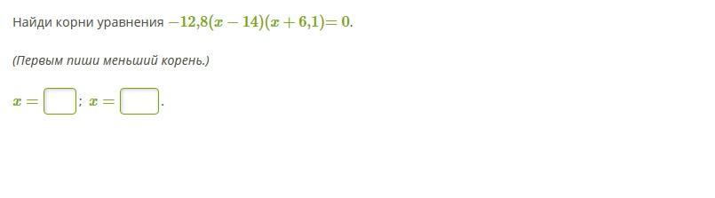
3. Найди корни уравнения −12,8(x−14)(x+6,1)=0.
!
!
!
!

Приложения:

bAlOdYa: ну вот смотри, это я решил на твое первое задание
bAlOdYa: тут 1 корень я нашел
bAlOdYa: (x+4)²=0
bAlOdYa: x+4=0
bAlOdYa: x=-4
bAlOdYa: тут 1 корень

Ответы

Ответ дал: megigmw
1
вот
1. -4
2. 1,5; 1
3. 14; -6,1
Приложения:

eto50mlradosty: большое спасибо)) молодец, пятерка тебе!)
megigmw: пожалуйста)
Вас заинтересует