• Предмет: Алгебра
  • Автор: vasyacnik4
  • Вопрос задан 7 лет назад

Помогите решить уровнения​

Приложения:

Ответы

Ответ дал: ludmilaksenija2005
0

Объяснение:

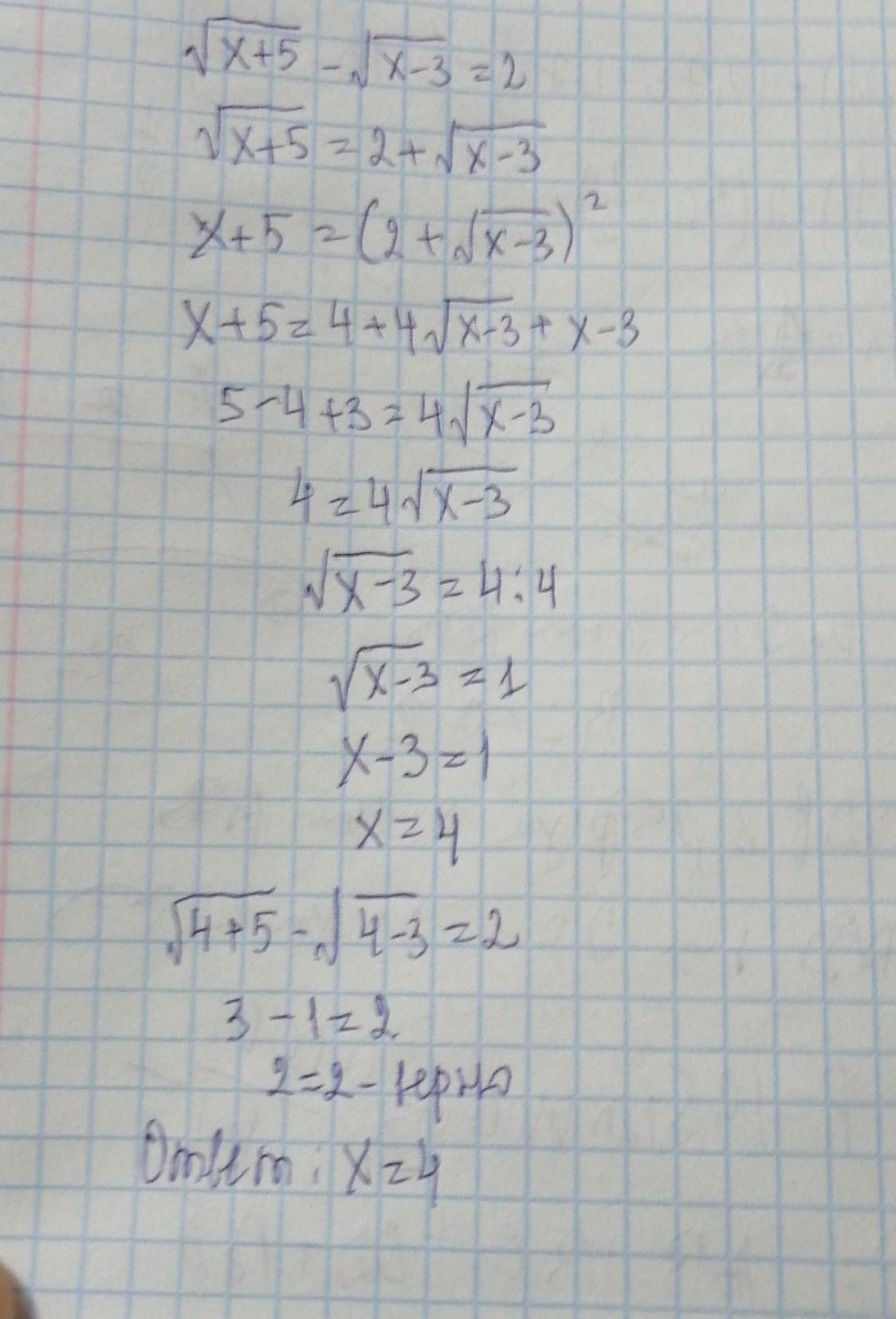
Решение на фото _________

Приложения:

vasyacnik4: мне не нужно з Photomath я так само могу мне нужно штоб по другому.
ludmilaksenija2005: другой способ, он чуть сложнее
Вас заинтересует