• Предмет: Алгебра
  • Автор: aguard739
  • Вопрос задан 7 лет назад

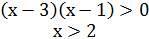
Найдите все решения, удовлетворяющие 2м неравенствам неравенствам

Приложения:

Ответы

Ответ дал: mathkot
2

Ответ:

\boxed{x \in (3;+\infty)}

Объяснение:

\displaystyle \left \{ {{(x - 3)(x - 1) > 0} \atop {x>2}} \right.

Разобьем систему на 2 неравенства:

1) (x - 3)(x - 1) > 0

x ∈ (-∞;1) ∪ (3;+∞)

2) x > 2

x ∈ (2;+∞)

Найдем пересечение пунктов 1) и 2)

X = ((-\infty;1)\cup(3;+\infty)) \cap(2;+\infty)) = (3;+\infty)

x \in (3;+\infty)

Смотрите фотографию!

Приложения:
Вас заинтересует