Ответы
Ответ дал:
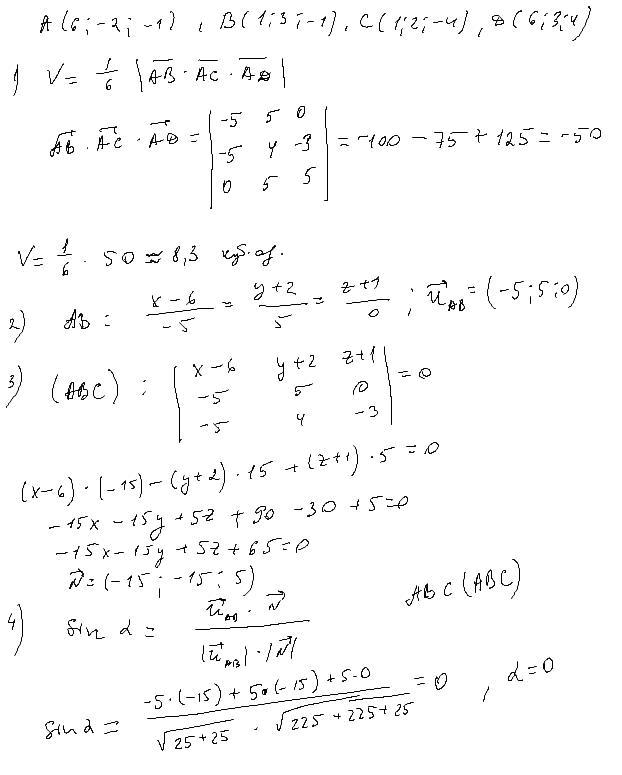
0
Ответ:
Объяснение:
ребро АВ принадлежит грани АВС, поэтому угол между ними 0 градусов
Приложения:


yugolovin:
AB лежит на грани ABC => угол = 0
Вас заинтересует
2 года назад
2 года назад
2 года назад
8 лет назад
8 лет назад
9 лет назад