• Предмет: Алгебра
  • Автор: awtgfagtewr
  • Вопрос задан 7 лет назад

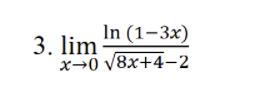
Решите предел БЕЗ МЕТОДА ЛОПИТАЛЯ

Приложения:

Ответы

Ответ дал: m11m
0

Ответ:

Объяснение:

!!!!!!!!!!!!!!!!!!!!!!!!!!!

Приложения:
Вас заинтересует